Cordingley puzzle 140 #chess
White to play and win
Solution
Oh dear: I got this one badly wrong; but so did white….
If I were given this position, and asked to choose which side I would want to play, I might choose black: white's two bishops aren't doing much, and haven't much opportunity; black's knight is domineering, and his rooks are threatening. Only if white can get to black's king would I say he is better.
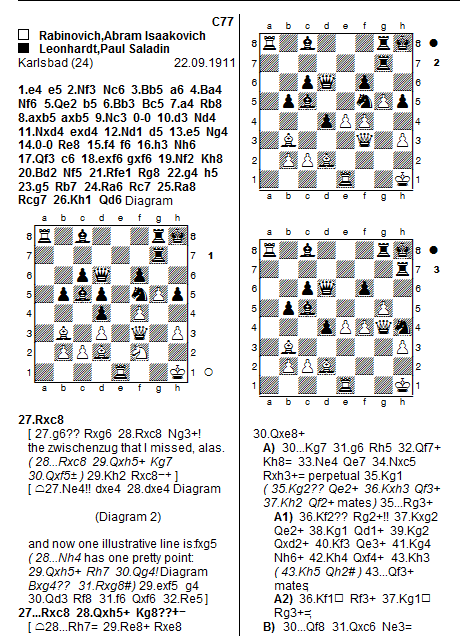
My thoughts were as follows: there are no LPDOs, but if the rook takes the Bc8, maybe there is a Qh5+ forking the knight and king; but after gf, Qf6 protects the knight, so this doesn't seem to be possible. Moves like c3 or c4 to try and get the bishops out where looked at, as was 1 Ne4, with the twin idea of improving the Bb3 and creating some central pawns: but likely not enough. I wasn't convinced by 1 Rc8 Rc8 2 Qh5+ Rh7 but then hit upon my solution 1 g6, with the idea of Rg6 2 Rc8 Rc8 3 Qh5+ Nh6 f5 picking up the knight: but checking with Houdini, 2…Ng3+ is a killing (and should have been obvious) zwischezug: 0-1.
The game instead went 1 Rc8, but as the analysis below shows, it is only good enough for equality. Cordingley doesn't give any variations, just the game moves, so I wonder if the players knew that white's concept was flawed.
Houdini instead shows that the move I considered, 1 Ne4!!, actually wins: though, truth be told, I personally can't see all its lines- to me, it just looks like a mess. The problem isn't cooked, but is Aagaardian- capable of a great deal more analysis,
You know you have done something wrong when your move, 1g6, isn't even listed by Houdini.



